How to write and run benchmarks in Node.js core
Table of contents
Prerequisites
Basic Unix tools are required for some benchmarks.
Git for Windows includes Git Bash and the necessary tools,
which need to be included in the global Windows PATH.
HTTP benchmark requirements
Most of the HTTP benchmarks require a benchmarker to be installed. This can be
either wrk or autocannon.
Autocannon is a Node.js script that can be installed using
npm install -g autocannon. It will use the Node.js executable that is in the
path. In order to compare two HTTP benchmark runs, make sure that the
Node.js version in the path is not altered.
wrk may be available through one of the available package managers. If not,
it can be easily built from source via make.
By default, wrk will be used as the benchmarker. If it is not available,
autocannon will be used in its place. When creating an HTTP benchmark, the
benchmarker to be used should be specified by providing it as an argument:
node benchmark/run.js --set benchmarker=autocannon http
node benchmark/http/simple.js benchmarker=autocannon
HTTPS benchmark requirements
To run the https benchmarks, one of autocannon or wrk benchmarkers must
be used.
node benchmark/https/simple.js benchmarker=autocannon
HTTP/2 benchmark requirements
To run the http2 benchmarks, the h2load benchmarker must be used. The
h2load tool is a component of the nghttp2 project and may be installed
from nghttp2.org or built from source.
node benchmark/http2/simple.js benchmarker=h2load
Benchmark analysis requirements
To analyze the results statistically, you can use either the
node-benchmark-compare tool or the R script benchmark/compare.R.
node-benchmark-compare is a Node.js script that can be installed with
npm install -g node-benchmark-compare.
To draw comparison plots when analyzing the results, R must be installed.
Use one of the available package managers or download it from
https://www.r-project.org/.
The R packages ggplot2 and plyr are also used and can be installed using
the R REPL.
$ R
install.packages("ggplot2")
install.packages("plyr")
If a message states that a CRAN mirror must be selected first, specify a mirror
with the repo parameter.
install.packages("ggplot2", repo="http://cran.us.r-project.org")
Of course, use an appropriate mirror based on location. A list of mirrors is located here.
Running benchmarks
Setting CPU Frequency scaling governor to "performance"
It is recommended to set the CPU frequency to performance before running
benchmarks. This increases the likelihood of each benchmark achieving peak performance
according to the hardware. Therefore, run:
$ ./benchmarks/cpu.sh fast
Running individual benchmarks
This can be useful for debugging a benchmark or doing a quick performance measure. But it does not provide the statistical information to make any conclusions about the performance.
Individual benchmarks can be executed by simply executing the benchmark script with node.
$ node benchmark/buffers/buffer-tostring.js
buffers/buffer-tostring.js n=10000000 len=0 arg=true: 62710590.393305704
buffers/buffer-tostring.js n=10000000 len=1 arg=true: 9178624.591787899
buffers/buffer-tostring.js n=10000000 len=64 arg=true: 7658962.8891432695
buffers/buffer-tostring.js n=10000000 len=1024 arg=true: 4136904.4060201733
buffers/buffer-tostring.js n=10000000 len=0 arg=false: 22974354.231509723
buffers/buffer-tostring.js n=10000000 len=1 arg=false: 11485945.656765845
buffers/buffer-tostring.js n=10000000 len=64 arg=false: 8718280.70650129
buffers/buffer-tostring.js n=10000000 len=1024 arg=false: 4103857.0726124765
Each line represents a single benchmark with parameters specified as
${variable}=${value}. Each configuration combination is executed in a separate
process. This ensures that benchmark results aren't affected by the execution
order due to V8 optimizations. The last number is the rate of operations
measured in ops/sec (higher is better).
Furthermore a subset of the configurations can be specified, by setting them in the process arguments:
$ node benchmark/buffers/buffer-tostring.js len=1024
buffers/buffer-tostring.js n=10000000 len=1024 arg=true: 3498295.68561504
buffers/buffer-tostring.js n=10000000 len=1024 arg=false: 3783071.1678948295
Running all benchmarks
Similar to running individual benchmarks, a group of benchmarks can be executed
by using the run.js tool. To see how to use this script,
run node benchmark/run.js. Again this does not provide the statistical
information to make any conclusions.
$ node benchmark/run.js assert
assert/deepequal-buffer.js
assert/deepequal-buffer.js method="deepEqual" strict=0 len=100 n=20000: 773,200.4995493788
assert/deepequal-buffer.js method="notDeepEqual" strict=0 len=100 n=20000: 964,411.712953848
...
assert/deepequal-map.js
assert/deepequal-map.js method="deepEqual_primitiveOnly" strict=0 len=500 n=500: 20,445.06368453332
assert/deepequal-map.js method="deepEqual_objectOnly" strict=0 len=500 n=500: 1,393.3481642240833
...
assert/deepequal-object.js
assert/deepequal-object.js method="deepEqual" strict=0 size=100 n=5000: 1,053.1950937538475
assert/deepequal-object.js method="notDeepEqual" strict=0 size=100 n=5000: 9,734.193251965213
...
It is possible to execute more groups by adding extra process arguments.
node benchmark/run.js assert async_hooks
Specifying CPU Cores for Benchmarks with run.js
When using run.js to execute a group of benchmarks,
you can specify on which CPU cores the
benchmarks should execute
by using the --set CPUSET=value option.
This controls the CPU core
affinity for the benchmark process,
potentially reducing
interference from other processes and allowing
for performance
testing under specific hardware configurations.
The CPUSET option utilizes the taskset command's format
for setting CPU affinity, where value can be a single core
number or a range of cores.
Examples:
node benchmark/run.js --set CPUSET=0... runs benchmarks on CPU core 0.node benchmark/run.js --set CPUSET=0-2... specifies that benchmarks should run on CPU cores 0 to 2.
Note: This option is only applicable when using run.js.
Ensure the taskset command is available on your system
and the specified CPUSET format matches its requirements.
Filtering benchmarks
benchmark/run.js and benchmark/compare.js have --filter pattern and
--exclude pattern options, which can be used to run a subset of benchmarks or
to exclude specific benchmarks from the execution, respectively.
$ node benchmark/run.js --filter "deepequal-b" assert
assert/deepequal-buffer.js
assert/deepequal-buffer.js method="deepEqual" strict=0 len=100 n=20000: 773,200.4995493788
assert/deepequal-buffer.js method="notDeepEqual" strict=0 len=100 n=20000: 964,411.712953848
$ node benchmark/run.js --exclude "deepequal-b" assert
assert/deepequal-map.js
assert/deepequal-map.js method="deepEqual_primitiveOnly" strict=0 len=500 n=500: 20,445.06368453332
assert/deepequal-map.js method="deepEqual_objectOnly" strict=0 len=500 n=500: 1,393.3481642240833
...
assert/deepequal-object.js
assert/deepequal-object.js method="deepEqual" strict=0 size=100 n=5000: 1,053.1950937538475
assert/deepequal-object.js method="notDeepEqual" strict=0 size=100 n=5000: 9,734.193251965213
...
--filter and --exclude can be repeated to provide multiple patterns.
$ node benchmark/run.js --filter "deepequal-b" --filter "deepequal-m" assert
assert/deepequal-buffer.js
assert/deepequal-buffer.js method="deepEqual" strict=0 len=100 n=20000: 773,200.4995493788
assert/deepequal-buffer.js method="notDeepEqual" strict=0 len=100 n=20000: 964,411.712953848
assert/deepequal-map.js
assert/deepequal-map.js method="deepEqual_primitiveOnly" strict=0 len=500 n=500: 20,445.06368453332
assert/deepequal-map.js method="deepEqual_objectOnly" strict=0 len=500 n=500: 1,393.3481642240833
$ node benchmark/run.js --exclude "deepequal-b" --exclude "deepequal-m" assert
assert/deepequal-object.js
assert/deepequal-object.js method="deepEqual" strict=0 size=100 n=5000: 1,053.1950937538475
assert/deepequal-object.js method="notDeepEqual" strict=0 size=100 n=5000: 9,734.193251965213
...
assert/deepequal-prims-and-objs-big-array-set.js
assert/deepequal-prims-and-objs-big-array-set.js method="deepEqual_Array" strict=0 len=20000 n=25 primitive="string": 865.2977195251661
assert/deepequal-prims-and-objs-big-array-set.js method="notDeepEqual_Array" strict=0 len=20000 n=25 primitive="string": 827.8297281403861
assert/deepequal-prims-and-objs-big-array-set.js method="deepEqual_Set" strict=0 len=20000 n=25 primitive="string": 28,826.618268696366
...
If --filter and --exclude are used together, --filter is applied first,
and --exclude is applied on the result of --filter:
$ node benchmark/run.js --filter "bench-" process
process/bench-env.js
process/bench-env.js operation="get" n=1000000: 2,356,946.0770617095
process/bench-env.js operation="set" n=1000000: 1,295,176.3266261867
process/bench-env.js operation="enumerate" n=1000000: 24,592.32231990992
process/bench-env.js operation="query" n=1000000: 3,625,787.2150573144
process/bench-env.js operation="delete" n=1000000: 1,521,131.5742806569
process/bench-hrtime.js
process/bench-hrtime.js type="raw" n=1000000: 13,178,002.113936031
process/bench-hrtime.js type="diff" n=1000000: 11,585,435.712423025
process/bench-hrtime.js type="bigint" n=1000000: 13,342,884.703919787
$ node benchmark/run.js --filter "bench-" --exclude "hrtime" process
process/bench-env.js
process/bench-env.js operation="get" n=1000000: 2,356,946.0770617095
process/bench-env.js operation="set" n=1000000: 1,295,176.3266261867
process/bench-env.js operation="enumerate" n=1000000: 24,592.32231990992
process/bench-env.js operation="query" n=1000000: 3,625,787.2150573144
process/bench-env.js operation="delete" n=1000000: 1,521,131.5742806569
Grouping benchmarks
Benchmarks can also have groups, giving the developer greater flexibility in differentiating between test cases and also helping reduce the time to run the combination of benchmark parameters.
By default, all groups are executed when running the benchmark.
However, it is possible to specify individual groups by setting the
NODE_RUN_BENCHMARK_GROUPS environment variable when running compare.js:
NODE_RUN_BENCHMARK_GROUPS=fewHeaders,manyHeaders node http/headers.js
Comparing Node.js versions
To compare the effect of a new Node.js version use the compare.js tool. This
will run each benchmark multiple times, making it possible to calculate
statistics on the performance measures. To see how to use this script,
run node benchmark/compare.js.
As an example on how to check for a possible performance improvement, the
#5134 pull request will be used as
an example. This pull request claims to improve the performance of the
node:string_decoder module.
First build two versions of Node.js, one from the main branch (here called
./node-main) and another with the pull request applied (here called
./node-pr-5134).
To run multiple compiled versions in parallel you need to copy the output of the
build: cp ./out/Release/node ./node-main. Check out the following example:
git checkout main
./configure && make -j4
cp ./out/Release/node ./node-main
git checkout pr-5134
./configure && make -j4
cp ./out/Release/node ./node-pr-5134
The compare.js tool will then produce a csv file with the benchmark results.
node benchmark/compare.js --old ./node-main --new ./node-pr-5134 string_decoder > compare-pr-5134.csv
Tips: there are some useful options of benchmark/compare.js. For example,
if you want to compare the benchmark of a single script instead of a whole
module, you can use the --filter option:
--new ./new-node-binary new node binary (required)
--old ./old-node-binary old node binary (required)
--runs 30 number of samples
--filter pattern string to filter benchmark scripts
--exclude pattern excludes scripts matching <pattern> (can be
repeated)
--set variable=value set benchmark variable (can be repeated)
--no-progress don't show benchmark progress indicator
Examples:
--set CPUSET=0 Runs benchmarks on CPU core 0.
--set CPUSET=0-2 Specifies that benchmarks should run on CPU cores 0 to 2.
Note: The CPUSET format should match the specifications of the 'taskset' command
For analyzing the benchmark results, use node-benchmark-compare or the R scripts:
benchmark/compare.Rbenchmark/bar.R
$ node-benchmark-compare compare-pr-5134.csv # or cat compare-pr-5134.csv | Rscript benchmark/compare.R
confidence improvement accuracy (*) (**) (***)
string_decoder/string-decoder.js n=2500000 chunkLen=16 inLen=128 encoding='ascii' *** -3.76 % ±1.36% ±1.82% ±2.40%
string_decoder/string-decoder.js n=2500000 chunkLen=16 inLen=128 encoding='utf8' ** -0.81 % ±0.53% ±0.71% ±0.93%
string_decoder/string-decoder.js n=2500000 chunkLen=16 inLen=32 encoding='ascii' *** -2.70 % ±0.83% ±1.11% ±1.45%
string_decoder/string-decoder.js n=2500000 chunkLen=16 inLen=32 encoding='base64-ascii' *** -1.57 % ±0.83% ±1.11% ±1.46%
...
In the output, improvement is the relative improvement of the new version,
hopefully this is positive. confidence tells if there is enough
statistical evidence to validate the improvement. If there is enough evidence
then there will be at least one star (*), more stars is just better. However
if there are no stars, then don't make any conclusions based on the
improvement. Sometimes this is fine, for example if no improvements are
expected, then there shouldn't be any stars.
A word of caution: Statistics is not a foolproof tool. If a benchmark shows
a statistical significant difference, there is a 5% risk that this
difference doesn't actually exist. For a single benchmark this is not an
issue. But when considering 20 benchmarks it's normal that one of them
will show significance, when it shouldn't. A possible solution is to instead
consider at least two stars (**) as the threshold, in that case the risk
is 1%. If three stars (***) is considered the risk is 0.1%. However this
may require more runs to obtain (can be set with --runs).
For the statistically minded, the script performs an independent/unpaired
2-group t-test, with the null hypothesis that the performance is the
same for both versions. The confidence field will show a star if the p-value
is less than 0.05.
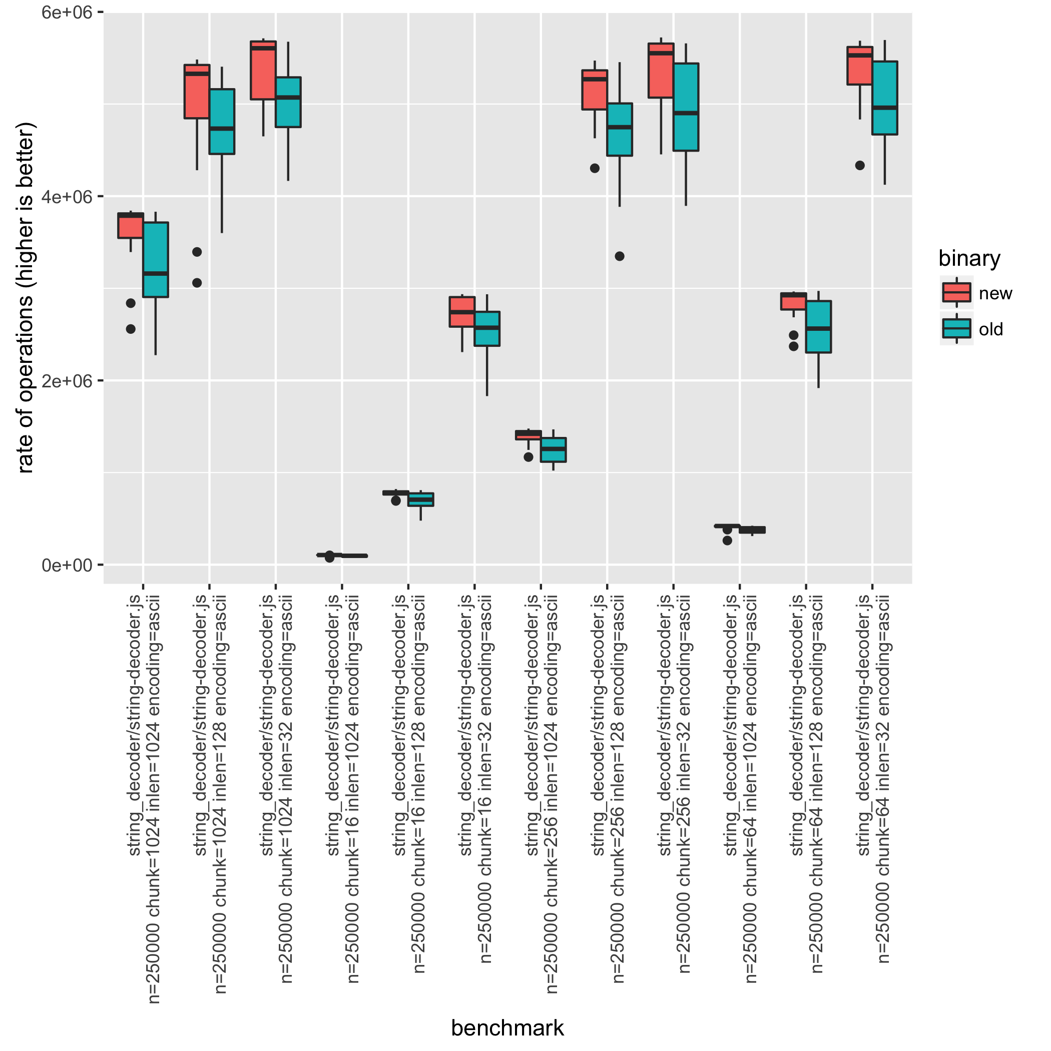
The compare.R tool can additionally produce a box plot by using the
--plot filename option. In this case there are 48 different benchmark
combinations, and there may be a need to filter the csv file. This can be done
while benchmarking using the --set parameter (e.g. --set encoding=ascii) or
by filtering results afterwards using tools such as sed or grep. In the
sed case be sure to keep the first line since that contains the header
information.
$ cat compare-pr-5134.csv | sed '1p;/encoding='"'"ascii"'"'/!d' | Rscript benchmark/compare.R --plot compare-plot.png
confidence improvement accuracy (*) (**) (***)
string_decoder/string-decoder.js n=2500000 chunkLen=16 inLen=128 encoding='ascii' *** -3.76 % ±1.36% ±1.82% ±2.40%
string_decoder/string-decoder.js n=2500000 chunkLen=16 inLen=32 encoding='ascii' *** -2.70 % ±0.83% ±1.11% ±1.45%
string_decoder/string-decoder.js n=2500000 chunkLen=16 inLen=4096 encoding='ascii' *** -4.06 % ±0.31% ±0.41% ±0.54%
string_decoder/string-decoder.js n=2500000 chunkLen=256 inLen=1024 encoding='ascii' *** -1.42 % ±0.58% ±0.77% ±1.01%
...

Comparing parameters
It can be useful to compare the performance for different parameters, for example to analyze the time complexity.
To do this use the scatter.js tool, this will run a benchmark multiple times
and generate a csv with the results. To see how to use this script,
run node benchmark/scatter.js.
node benchmark/scatter.js benchmark/string_decoder/string-decoder.js > scatter.csv
After generating the csv, a comparison table can be created using the
scatter.R tool. Even more useful it creates an actual scatter plot when using
the --plot filename option.
$ cat scatter.csv | Rscript benchmark/scatter.R --xaxis chunkLen --category encoding --plot scatter-plot.png --log
aggregating variable: inLen
chunkLen encoding rate confidence.interval
16 ascii 1515855.1 334492.68
16 base64-ascii 403527.2 89677.70
16 base64-utf8 322352.8 70792.93
16 utf16le 1714567.5 388439.81
16 utf8 1100181.6 254141.32
64 ascii 3550402.0 661277.65
64 base64-ascii 1093660.3 229976.34
64 base64-utf8 997804.8 227238.04
64 utf16le 3372234.0 647274.88
64 utf8 1731941.2 360854.04
256 ascii 5033793.9 723354.30
256 base64-ascii 1447962.1 236625.96
256 base64-utf8 1357269.2 231045.70
256 utf16le 4039581.5 655483.16
256 utf8 1828672.9 360311.55
1024 ascii 5677592.7 624771.56
1024 base64-ascii 1494171.7 227302.34
1024 base64-utf8 1399218.9 224584.79
1024 utf16le 4157452.0 630416.28
1024 utf8 1824266.6 359628.52
Because the scatter plot can only show two variables (in this case chunkLen
and encoding) the rest is aggregated. Sometimes aggregating is a problem, this
can be solved by filtering. This can be done while benchmarking using the
--set parameter (e.g. --set encoding=ascii) or by filtering results
afterwards using tools such as sed or grep. In the sed case be
sure to keep the first line since that contains the header information.
$ cat scatter.csv | sed -E '1p;/([^,]+, ){3}128,/!d' | Rscript benchmark/scatter.R --xaxis chunkLen --category encoding --plot scatter-plot.png --log
chunkLen encoding rate confidence.interval
16 ascii 1302078.5 71692.27
16 base64-ascii 338669.1 15159.54
16 base64-utf8 281904.2 20326.75
16 utf16le 1381515.5 58533.61
16 utf8 831183.2 33631.01
64 ascii 4363402.8 224030.00
64 base64-ascii 1036825.9 48644.72
64 base64-utf8 780059.3 60994.98
64 utf16le 3900749.5 158366.84
64 utf8 1723710.6 80665.65
256 ascii 8472896.1 511822.51
256 base64-ascii 2215884.6 104347.53
256 base64-utf8 1996230.3 131778.47
256 utf16le 5824147.6 234550.82
256 utf8 2019428.8 100913.36
1024 ascii 8340189.4 598855.08
1024 base64-ascii 2201316.2 111777.68
1024 base64-utf8 2002272.9 128843.11
1024 utf16le 5789281.7 240642.77
1024 utf8 2025551.2 81770.69

Running benchmarks on the CI
To see the performance impact of a pull request by running benchmarks on the CI, check out How to: Running core benchmarks on Node.js CI.
Creating a benchmark
Basics of a benchmark
All benchmarks use the require('../common.js') module. This contains the
createBenchmark(main, configs[, options]) method which will setup the
benchmark.
The arguments of createBenchmark are:
main{Function} The benchmark function, where the code running operations and controlling timers should goconfigs{Object} The benchmark parameters.createBenchmarkwill run all possible combinations of these parameters, unless specified otherwise. Each configuration is a property with an array of possible values. The configuration values can only be strings or numbers.options{Object} The benchmark options. Supported options:-
flags{Array} Contains node-specific command line flags to pass to the child process. -
byGroups{Boolean} option for processingconfigsby groups:const bench = common.createBenchmark(main, {
groupA: {
source: ['array'],
len: [10, 2048],
n: [50],
},
groupB: {
source: ['buffer', 'string'],
len: [2048],
n: [50, 2048],
}
}, { byGroups: true }); -
combinationFilter{Function} Has a single parameter which is an object containing a combination of benchmark parameters. It should returntrueorfalseto indicate whether the combination should be included or not.
-
createBenchmark returns a bench object, which is used for timing
the runtime of the benchmark. Run bench.start() after the initialization
and bench.end(n) when the benchmark is done. n is the number of operations
performed in the benchmark.
The benchmark script will be run twice:
The first pass will configure the benchmark with the combination of
parameters specified in configs, and WILL NOT run the main function.
In this pass, no flags except the ones directly passed via commands
when running the benchmarks will be used.
In the second pass, the main function will be run, and the process
will be launched with:
- The flags passed into
createBenchmark(the third argument) - The flags in the command passed when the benchmark was run
Beware that any code outside the main function will be run twice
in different processes. This could be troublesome if the code
outside the main function has side effects. In general, prefer putting
the code inside the main function if it's more than just declaration.
'use strict';
const common = require('../common.js');
const { SlowBuffer } = require('node:buffer');
const configs = {
// Number of operations, specified here so they show up in the report.
// Most benchmarks just use one value for all runs.
n: [1024],
type: ['fast', 'slow'], // Custom configurations
size: [16, 128, 1024], // Custom configurations
};
const options = {
// Add --expose-internals in order to require internal modules in main
flags: ['--zero-fill-buffers'],
};
// `main` and `configs` are required, `options` is optional.
const bench = common.createBenchmark(main, configs, options);
// Any code outside main will be run twice,
// in different processes, with different command line arguments.
function main(conf) {
// Only flags that have been passed to createBenchmark
// earlier when main is run will be in effect.
// In order to benchmark the internal modules, require them here. For example:
// const URL = require('internal/url').URL
// Start the timer
bench.start();
// Do operations here
const BufferConstructor = conf.type === 'fast' ? Buffer : SlowBuffer;
for (let i = 0; i < conf.n; i++) {
new BufferConstructor(conf.size);
}
// End the timer, pass in the number of operations
bench.end(conf.n);
}
Creating an HTTP benchmark
The bench object returned by createBenchmark implements
http(options, callback) method. It can be used to run external tool to
benchmark HTTP servers.
'use strict';
const common = require('../common.js');
const bench = common.createBenchmark(main, {
kb: [64, 128, 256, 1024],
connections: [100, 500],
duration: 5,
});
function main(conf) {
const http = require('node:http');
const len = conf.kb * 1024;
const chunk = Buffer.alloc(len, 'x');
const server = http.createServer((req, res) => {
res.end(chunk);
});
server.listen(common.PORT, () => {
bench.http({
connections: conf.connections,
}, () => {
server.close();
});
});
}
Supported options keys are:
port- defaults tocommon.PORTpath- defaults to/connections- number of concurrent connections to use, defaults to 100duration- duration of the benchmark in seconds, defaults to 10benchmarker- benchmarker to use, defaults to the first available http benchmarker